продам земля

Волинська область ,  місто Володимир-Волинський
Показати на карті
7'800 USD
7800 за м2
Код: 910773167
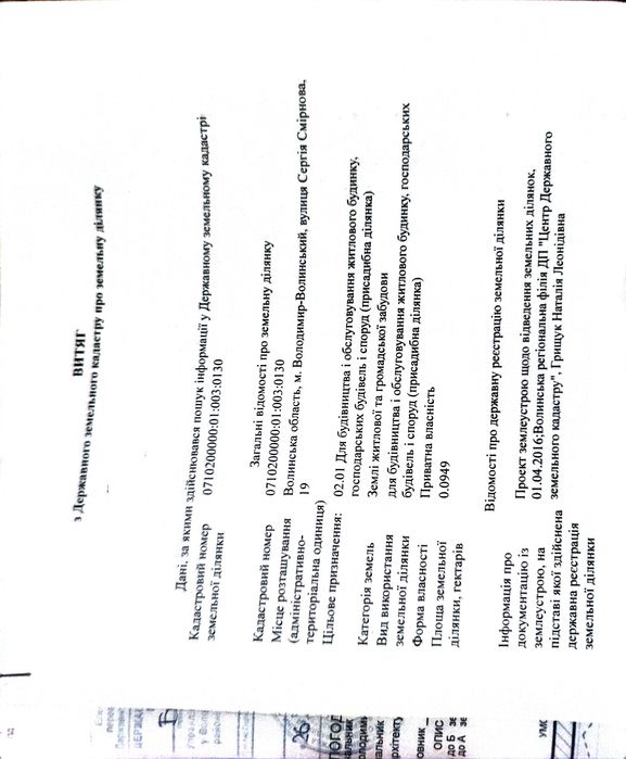
Кадастровий номер: 0710200000:01:003:0130
Земельна ділянка: 9 сот
Цільове призначення: інше
оновлено: 30 січня
Земля під забудову; Ділянка землі під забудову. Знаходиться по вулиці Смірнова. 9 соток. За додатковою інформацією пишіть